열심히 끝까지
37강 컬렉션 프레임 웍2 / set / list 본문
37-1 ) Set
Set(집합)?
: 요소들을 집합적으로 모아놓은 자료구조
특징?
- 중복을 허용하지 않음
- 저장 순서를 유지하지 않음
Set을 구현한 클래스 : HashSet, TreeSet
[1] HashSet
: Set과 동일하게 중복이 없고 순서가 없다
생성자 설명
HashSet() HashSet 클래스의 기본 생성자
HashSet(Collection c) 컬렉션의 요소로 HashSet 객체 생성
HashSet(int capacity) capacity 용량을 갖는 객체 생성
* 중복된 요소 add()시, 집합에 추가 안되고 false값 반환
ex ) 3값이 존재하고 있는데 3을 추가하려 하면 추가 안됨과 동시에 false값 반환
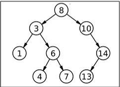
[2] TreeSet
: Set과 동일하게 중복이 없으나, 정렬기능이 추가된 형태

데이터 추가 시,
기준 데이터보다 작다면 기준의 왼쪽에
기준 데이터보다 크다면 기준의 오른쪽에 위치
-> 이진 탐색 트리의 구조
<실습>TreeSet1
HashSet과 TreeSet의 요소를 저장한 결과를 비교

37-2 ) List
List(리스트)?
: 데이터를 일렬로 늘어놓은 구조
특징
- 순서가 있음
- 중복 허용
List 인터페이스를 구현한 클래스 : ArrayList, LinkedList
List 인터페이스의 주요 메서드

[1] ArrayList
: 요소 추가 시 0번 인덱스부터 차례대로 요소 저장(배열에서 발전된 형태)
<실습>ArrayList1

[2] LinkedList
: 요소들이 서로 연결되어 있는 리스트(각 요소가 다음 요소의 주소를 저장)
<실습>TimeCheck

'멘토씨리즈 JAVA' 카테고리의 다른 글
| 39강 컬렉션 프레임 웍4 / Map (0) | 2022.05.09 |
|---|---|
| 38강 컬렉션 프레임 웍3 / 큐 / 스택 (0) | 2022.05.07 |
| 36강 컬렉션 프레임웍1 (0) | 2022.05.06 |
| 35강 java.util 패키지3 (0) | 2022.05.06 |
| 34강 java.util 패키지2 (0) | 2022.05.05 |