열심히 끝까지

37강 컬렉션 프레임 웍2 / set / list 본문

멘토씨리즈 JAVA

37강 컬렉션 프레임 웍2 / set / list

노유림 2022. 5. 7. 22:21

37-1 ) Set
       Set(집합)?
              : 요소들을 집합적으로 모아놓은 자료구조

       특징?
              - 중복을 허용하지 않음
              - 저장 순서를 유지하지 않음

       Set을 구현한 클래스 : HashSetTreeSet

       [1] HashSet
           : Set과 동일하게 중복이 없고 순서가 없다

                생성자                                                   설명
              HashSet()                                HashSet 클래스의 기본 생성자
       HashSet(Collection c)                     컬렉션의 요소로 HashSet 객체 생성
       HashSet(int capacity)                         capacity 용량을 갖는 객체 생성

        * 중복된 요소 add()시, 집합에 추가 안되고 false값 반환
                ex ) 3값이 존재하고 있는데 3을 추가하려 하면 추가 안됨과 동시에 false값 반환

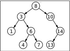
       [2] TreeSet
           : Set과 동일하게 중복이 없으나, 정렬기능이 추가된 형태



           데이터 추가 시, 
           기준 데이터보다 작다면 기준의 왼쪽
           기준 데이터보다 크다면 기준의 오른쪽에 위치
           -> 이진 탐색 트리의 구조

        <실습>TreeSet1
        HashSet과 TreeSet의 요소를 저장한 결과를 비교


37-2 ) List
       List(리스트)?
              : 데이터를 일렬로 늘어놓은 구조

       특징
              - 순서가 있음
              - 중복 허용

       List 인터페이스를 구현한 클래스 : ArrayList, LinkedList

       List 인터페이스의 주요 메서드



       [1] ArrayList
               : 요소  추가 시 0번 인덱스부터 차례대로 요소 저장(배열에서 발전된 형태)

      <실습>ArrayList1


       [2] LinkedList
               : 요소들이 서로 연결되어 있는 리스트(각 요소가 다음 요소의 주소를 저장)

       <실습>TimeCheck

'멘토씨리즈 JAVA' 카테고리의 다른 글

39강 컬렉션 프레임 웍4 / Map  (0) 2022.05.09
38강 컬렉션 프레임 웍3 / 큐 / 스택  (0) 2022.05.07
36강 컬렉션 프레임웍1  (0) 2022.05.06
35강 java.util 패키지3  (0) 2022.05.06
34강 java.util 패키지2  (0) 2022.05.05